(1)基本静额定负荷 (C0) 的定义
直线导轨在静止或运动中若承受过大的负荷,或受有很大冲击负荷时,会导致珠道接触面和钢珠产生局部的永久变形;当永久变形量超过某一限度,将妨碍直线导轨运动的平稳性。基本静额定负荷便是容许这个永久变形量的极限负荷。依照定义:负荷的方向和大小不变的状态下,在受到最大应力接触面处,钢珠与珠道表面的总永久变形量恰为钢珠直径万分之一时的静止负荷。
基本静额定负荷的数值详列于各规格尺寸表中;用户可参照表格选用适合的线性滑轨,但必需注意的是被选用的直线导轨在运行中所受的最大静负荷不可超过其基本静额定负荷。
(2) 容许静力矩 (M0) 的定义
当滑块中受到最大应力的钢珠达到上述定义之静额定负荷时,此时滑块所承载之力矩称为静额定力矩。在直线导轨运动中是以MR、MP、MY这三个方向来定义:

(3) 静安全系数
当直线导轨使用在慢速运动或作动频率不高的状况下,需考虑静安全系数。根据不同的使用状况,计算静负荷必须考虑不同的安全系数,尤其是当滑轨受有冲击性负荷时,需要取用较大的安全系数。

(4) 基本动额定负荷(C)的定义
基本动额定负荷用于线性滑轨承受负荷并做滚动运动时的寿命计算。其定义是在负荷的方向和大小不变的状态之下,直线导轨的额定寿命为50km时(滚柱式直线导轨为100km)的最大负荷,此值详列于各规格尺寸表中,使用者可藉由此值预先估算出选用之直线导轨的额定寿命。
直线导轨的寿命和额定载荷
滚动轴承承载能力-寿命的计算方法已确立、被ISO标准采用确定,JIS标准也遵循该方法。但直线导轨的寿命计算方法没有完全统一标准,各个公司会存在部分差异。在转动体(轴承)和轨道槽(导轨)的接触机理方面两者相同。这里对具有代表性直线导轨的负载能力进行说明。分各项和计算方式区分。
(1)寿命 L
直 线导轨在承受一定载荷的状态下进行连续运动( 直线 往复)时,由于重复应力的作用,导轨轨道面和轴承表面会发生疲劳剥落,最终导致无法使用。将达到这种状态的距离(或时间)称之为寿命。
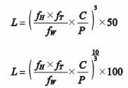
所谓额定寿命是指 将 同规格一批量的直线导轨,放在相同的条件下运行,其中90%滑动导轨不受损伤的情况下达到的总的运行距离,可通过以下公式进行计算。

C:基本额定动载荷<参考下面内容> FH:硬度系数
P :作用于轴承的 动 载荷 FT:温度系数
n:滚珠轴承的情况下为3 FW:负荷系数
( 2 )基本 额 定 动载 荷 P
额 定寿命可达50Km 时 ,一定大小和方向的 载荷即为基本额定动载荷 P 。
( 3 )基本额定静载荷C
直 线导轨即使在停止状态或超低速运行时、轨道面和轴承也会发生永久变形,致使其性能降低,最终导致无法使用。这种情况下的载荷即为基本额定静载荷C0。
(4)预压和寿命
需要高精度的 直 线运动和定位的情况下,施加预压使轴承间隙变小。增大预压可提高产品刚性 以及直线导轨精度。预压大小值在回转体为滚珠轴承的情况下选择其负载的30%左右适中 ,过大预压也会导致寿命降低,预压过小接触面过小也会影响直线导轨的寿命。